Trường Đại học Ngoại ngữ - ĐHQG Hà Nội

Mã trường: QHF
Tên viết tắt: ULIS
Tên tiếng Việt: Trường Đại học Ngoại ngữ - ĐHQG Hà Nội
Tên tiếng Anh: UNIVERSITY OF LANGUAGES AND INTERNATIONAL STUDIES
Điện thoại: 024 3754 7269
Hotline:
Địa chỉ: Số 2 đường Phạm Văn Đồng, Phường Cầu Giấy, TP. Hà Nội

Khi có yêu cầu thay đổi, cập nhật nội dung trong bài viết này, Nhà trường vui lòng gửi mail tới:
 kenhtuyensinhhuongnghiep@gmail.com

Trường Đại học Ngoại ngữ - ĐHQG Hà Nội

Năm 2025, trường Đại học Ngoại ngữ - ĐHQGHN tuyển sinh  2.400 chỉ tiêu dựa trên 5 phương thức xét tuyển như sau:

Phương thức 1: Xét tuyển thẳng theo Quy chế tuyển sinh của Bộ GD&ĐT

Phương thức 2: Xét tuyển bằng kết quả thi tốt nghiệp THPT năm 2025

Phương thức 3: Xét tuyển chứng chỉ ngoại ngữ kết hợp với kết quả thi tốt nghiệp THPT năm 2025

Phương thức 4: Xét tuyển bằng kết quả bài thi Đánh giá năng lực học sinh THPT do ĐHQGHN tổ chức

Phương thức 5: Xét tuyển chứng chỉ kết hợp với kết quả học tập bậc THPT

Bảng quy đổi điểm giữa các phương thức xét tuyển đại học chính quy năm 2025

1. Về công thức quy đổi điểm giữa các phương thức xét tuyển (theo quy định của Bộ GD&ĐT):

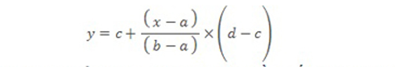
Căn cứ theo hướng dẫn chung của Bộ Giáo dục và Đào tạo, Trường Đại học Ngoại ngữ, ĐHQGHN áp dụng phương pháp bách phân vị (Percentile Equating) để tìm ra các mức điểm quy đổi giữa các phương thức tuyển sinh.

Từ Bảng phân vị tương quan với các giá trị khoảng điểm phân vị cụ thể sẽ thực hiện nội suy hàm quy đổi mức điểm giữa các phương thức tuyển sinh khác nhau. Theo đó, từ mức điểm 𝑥 thuộc khoảng phân vị [𝑎, 𝑏) của phương thức tuyển sinh này sẽ được nội suy tương đương sang mức điểm 𝑦 thuộc khoảng phân vị [𝑐, 𝑑) tương ứng với phương thức tuyển sinh khác theo công thức như sau:

Trường Đại học Ngoại ngữ - ĐHQG Hà Nội

2. Quy đổi giữa điểm thi Đánh giá năng lực của ĐHQGHN (có hợp phần Tiếng Anh) và điểm thi tốt nghiệp THPT năm 2025:

Trường Đại học Ngoại ngữ - ĐHQG Hà Nội

Ghi chú:

  • Điểm quy đổi chưa bao gồm điểm thưởng, điểm ưu tiên khu vực, đối tượng.
  • Đối với ngành Kinh tế – Tài chính, ngưỡng đảm bảo chất lượng là 15 điểm và sử dụng bảng quy đổi riêng.

3. Quy đổi giữa điểm thi tốt nghiệp THPT năm 2025 và kết quả học tập bậc THPT, VNU12+:

Trường Đại học Ngoại ngữ - ĐHQG Hà Nội

Ghi chú:

  • Đối tượng áp dụng: (1) Thí sinh là học sinh các trường THPT thuộc ĐHQGHN hoặc là học sinh lớp chuyên/hệ chuyên các trường THPT chuyên trên toàn quốc tốt nghiệp THPT năm 2025 xét tuyển kết hợp kết quả học tập bậc THPT với chứng chỉ ngoại ngữ; (2) Thí sinh là học sinh các trường THPT thuộc ĐHQGHN đã tham gia Chương trình VNU12+ xét tuyển kết hợp kết quả học tập bậc THPT với phỏng vấn.
  • Sau khi có điểm chuẩn chính thức (điểm chuẩn tính theo điểm thi tốt nghiệp THPT), điểm chuẩn tương ứng tính theo kết quả học tập bậc THPT sẽ được xác định căn cứ trên bảng quy đổi tương đương.
  • Điểm quy đổi chưa bao gồm điểm thưởng, điểm ưu tiên khu vực, đối tượng.

Xét điểm thi tốt nghiệp

STT Tên ngành Điểm chuẩn
1 Sư phạm Tiếng Anh 30
2 Sư phạm Tiếng Trung Quốc 30
3 Sư phạm Tiếng Nhật 28.1
4 Sư phạm Tiếng Hàn Quốc 27.81
5 Tiếng Việt và Văn hóa Việt Nam 22.56
6 Ngôn ngữ Anh 26.85
7 Ngôn ngữ Nga 22.6
8 Ngôn ngữ Pháp 23.47
9 Ngôn ngữ Trung Quốc 27.03
10 Ngôn ngữ Đức 24.56
11 Ngôn ngữ Nhật 23.93
12 Ngôn ngữ Hàn Quốc 24.69
13 Ngôn ngữ Ảrập 21.88
14 Văn hóa và truyền thông xuyên quốc gia 24.58
15 Kinh tế - Tài chính 15.06